Teknik Motor Samhälle Spel Popkultur Fritid Tjock Tester Dagens fråga Tipsa! Skaffa Feber+ Mitt konto
Hetaste
Senaste
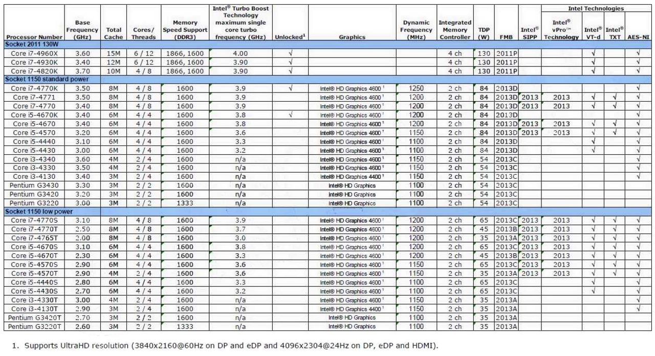
Stor lista på Intels processorer läckt Avslöjar alla Haswell och några Ivy Bridge-E modeller Stor lista på Intels processorer läckt VR-Zone publicerade tidigare under månaden vad som antagligen är Intels planer för processorer för den närmaste framtiden och där kunde vi läsa att Broadwell inte kommer släppas till stationära datorer under nästa år utan Intel skulle istället släppa en uppdaterad version av Haswell och 9-seriens chipset.Nu visar det sig att VR-Zones information stämmer bra med en annan av Intels planer som läckt ut på nätet under maj månad som även bekräftats av CPU World, eller i alla fall vissa av detaljerna. Samma källa har nu kommit med ny information som visar vissa specifikationer av kommande Haswell och Ivy Bridge-E processorer.Listan ovan innehåller alla Haswell-processorer som tidigare nämnts i Intels planer och det finns ingen information om planerna för 2014 men det finns gott om information om dualcore Core i3 och Pentium-modellerna. De kommer ha en TDP på 54 W och ska gå upp till 3,6 GHz med Core i3-4340. Haswell-baserade Pentiums kommer vara nästan lika snabba och går upp till 3,3 GHz men saknar då stöd för HyperThreading.Med på listan finn också en ny quadcore-modell, Core i7-4771, som lägger på 100 MHz till basklockan av i7-4770 för att komma upp till nivån av i7-4770K.För PC-entusiaster så är väl det intressantaste på listan de kommande Ivy Bridge-E processorerna. De väntas släppas under nästa kvartal och toppmodellen blir Core i7-4960X som lägger sig på 3,6 GHz med 4 GHz Turbo. Sedan har vi också Core i7-4820K med klockfrekvenserna 3,7/3,9 GHz samt Core i7-4930K på 3,4/3,9 GHz.Precis som med Sandy Bridge-e så kommer toppmodellen ha sex kärnor och tolv trådar med den lägst presterande har fyra kärnor och åtta trådar. TDPn för alla tre ligger på 130 W och de har upplåst multiplier. asder00.blogspot.it PC, Hårdvara, Intel, Haswell, Ivy Bridge-E
37.5° 0 Samuel Paulsson Samuel Paulsson
mån. 17 jun 2013, 15:30
+ Per månad 39 kr Betala löpande per månad. Ingen bindningstid. Starta prenumeration Per år 299 kr Enklast och billigast, bara 25 kronor i månaden. Betala löpande per år. Ingen bindningstid. Prova 14 dagar gratis innan du bestämmer dig. Starta gratis provperiod Engångsköp 349 kr Slipp återkommande betalningar, betala ett år i taget. Betala med kort eller Swish. Köp utan prenumeration